 
| จำนวนชิ้น | ส่วนลดต่อชิ้น | ราคาสุทธิต่อชิ้น | 
| {{(typeof focus_pdata.price_list[idx+1] == 'undefined')?('≥ '+price_row.min_quantity):((price_row.min_quantity < (focus_pdata.price_list[idx+1].min_quantity - 1))?(price_row.min_quantity+' - '+(focus_pdata.price_list[idx+1].min_quantity - 1)):price_row.min_quantity)}} | {{number_format(((focus_pdata.price_old === null)?focus_pdata.price:focus_pdata.price_old) - price_row.price,2)}} บาท | {{number_format(price_row.price,2)}} บาท | 
| คงเหลือ | ไม่จำกัด ชิ้น | 
| จำนวน (ชิ้น) | - + | 
| ซื้อเลย หยิบลงตะกร้า ซื้อเลย หยิบลงตะกร้า คุณมีสินค้าชิ้นนี้ในตะกร้า 0 ชิ้น | |
|  | |
| คุยกับร้านค้า |  | 
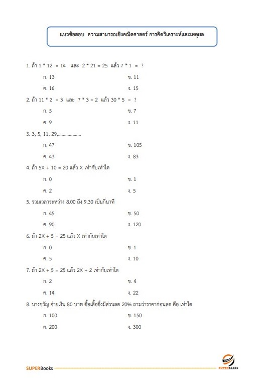
| {{ size_chart_name }} |  | 
| หมวดหมู่ | แนวข้อสอบ 18/07/2565 | 
| สภาพ | สินค้าใหม่ | 
| เพิ่มเติม | |
| สภาพ | สินค้ามือสอง | 
| เกรด | |
| สถานะสินค้า | |
| ระยะเวลาจัดเตรียมสินค้า | |
| เข้าร่วมโปรโมชั่น | |
| ไฮไลท์ | แนวข้อสอบ นักจัดการงานทั่วไป กรมการแพทย์ พร้อมเฉลย ล่าสุด ไฟล์ pdf ราคาถูก 385 บาท | 
| ข้อมูล | น้ำหนัก  บาร์โค้ด  ลงสินค้า  อัพเดทล่าสุด  | 
| รายละเอียดสินค้า | แนวข้อสอบ นักจัดการงานทั่วไป กรมการแพทย์ • ความรู้เกี่ยวกับกรมการแพทย์ • ความสามารถเชิงคณิตศาสตร์ การคิดวิเคราะห์และเหตุผล • แนวข้อสอบ ความสามารถเชิงคณิตศาสตร์ การคิดวิเคราะห์และเหตุผล • ความรู้ด้านภาษาไทย • แนวข้อสอบ ภาษาไทย • ความรู้ด้านภาษาอังกฤษ • แนวข้อสอบ ภาษาอังกฤษ • สรุปสาระสำคัญ ระเบียบสำนักนายกรัฐมนตรีว่าด้วยงานสารบรรณ พ.ศ.2526 และที่แก้ไขเพิ่มเติม • แนวข้อสอบ ระเบียบสำนักนายกรัฐมนตรีว่าด้วยงานสารบรรณ พ.ศ.2526 และที่แก้ไขเพิ่มเติม • สรุปสาระสำคัญ ระเบียบกระทรวงการคลังว่าด้วยการจัดซื้อจัดจ้างและการบริหารพัสดุภาครัฐ พ.ศ. 2560 และที่แก้ไขเพิ่มเติม • แนวข้อสอบ ระเบียบกระทรวงการคลังว่าด้วยการจัดซื้อจัดจ้างและการบริหารพัสดุภาครัฐ พ.ศ. 2560 และที่แก้ไขเพิ่มเติม • ความรู้เกี่ยวกับการบริหารจัดการทั่วไป • ความรู้เกี่ยวกับงานธุรการและงานสารบรรณ • ความรู้เกี่ยวกับการบริหารทรัพยากรบุคคล • ความรู้เกี่ยวกับการจัดระบบงาน • การบริหารงบประมาณ • ความรู้เกี่ยวกับบัญชีและระบบบัญชี • ความรู้เบื้องต้นเกี่ยวกับงานการเงิน • ความรู้เกี่ยวกับงานการพัสดุ • การบริหารอาคารสถานที่ • ความรู้เกี่ยวกับการจัดการงานเอกสาร • แนวข้อสอบ นักจัดการงานทั่วไป • ระเบียบกระทรวงสาธารณสุขว่าด้วยพนักงานกระทรวงสาธารณสุข พ.ศ.2556 และที่แก้ไขเพิ่มเติม • แนวข้อสอบ ระเบียบกระทรวงสาธารณสุขว่าด้วยพนักงานกระทรวงสาธารณสุข พ.ศ.2556 และที่แก้ไขเพิ่มเติม • ความรู้เบื้องต้นเกี่ยวกับการใช้คอมพิวเตอร์โปรแกรม Microsoft Office (โปรแกรม Word, Excel, Power Point) • แนวข้อสอบ ความรู้เกี่ยวกับการใช้โปรแกรม Microsoft Office (โปรแกรม Word, Excel, Power Point) • ความรู้เกี่ยวกับสภาพแวดล้อม ข่าวสารด้านเศรษฐกิจ สังคม และเทคโนโลยีของประเทศไทยและต่างประเทศปัจจุบัน  • เทคนิคการเตรียมตัวก่อนสอบ และเทคนิคการสอบสัมภาษณ์ สรุปสาระสำคัญ<รวบรวมขึ้นตามประกาศสอบของหน่วยงาน และตำแหน่งปัจจุบัน ในการสอบครั้งนี้ไว้ในเล่มเดียว><ความรู้ทั่วไปและความรู้เฉพาะตำเเหน่ง><เนื้อหาครบ ชัดเจน ตรงประเด็น พร้อมเฉลยกระชับ เข้าใจง่าย อัพเดทก่อนใคร><สรุปสาระสำคัญ พร้อมเฉลย อ่านง่าย ครบ ตรงประเด็น เข้าใจเร็ว ประหยัดเวลาในการอ่าน><เหมาะสำหรับ เตรียมตัวสอบ แกะจากสนามสอบจริง อัดแน่นด้วยคุณภาพ รวมข้อสอบเก่าเด็ดๆ และข้อสอบที่ออกบ่อยๆ ><พร้อมเทคนิคในการสอบสัมภาษณ์>ติดต่อสอบถาม สั่งซื้อแนวข้อสอบโทร 091-8641493LINE ID: @661nrgvo (มี @ด้วย)เพิ่มเพื่อนอัตโนมัติคลิ๊ก https://lin.ee/hIPQu8t                   | 
| เงื่อนไขอื่นๆ |  | 
| Tags | 
 แนวข้อสอบ ประกาศสอบ ติวสอบ งานราชการ
			แนวข้อสอบ ประกาศสอบ ติวสอบ งานราชการ
		 
					