 
| จำนวนชิ้น | ส่วนลดต่อชิ้น | ราคาสุทธิต่อชิ้น | 
| {{(typeof focus_pdata.price_list[idx+1] == 'undefined')?('≥ '+price_row.min_quantity):((price_row.min_quantity < (focus_pdata.price_list[idx+1].min_quantity - 1))?(price_row.min_quantity+' - '+(focus_pdata.price_list[idx+1].min_quantity - 1)):price_row.min_quantity)}} | {{number_format(((focus_pdata.price_old === null)?focus_pdata.price:focus_pdata.price_old) - price_row.price,2)}} บาท | {{number_format(price_row.price,2)}} บาท | 
| คงเหลือ | ไม่จำกัด ชิ้น | 
| จำนวน (ชิ้น) | - + | 
| ซื้อเลย หยิบลงตะกร้า ซื้อเลย หยิบลงตะกร้า คุณมีสินค้าชิ้นนี้ในตะกร้า 0 ชิ้น | |
|  | |
| คุยกับร้านค้า |  | 
| {{ size_chart_name }} |  | 
| หมวดหมู่ | สำนักงานขนส่งจังหวัดสกลนคร | 
| สภาพ | สินค้าใหม่ | 
| เพิ่มเติม | |
| สภาพ | สินค้ามือสอง | 
| เกรด | |
| สถานะสินค้า | |
| ระยะเวลาจัดเตรียมสินค้า | |
| เข้าร่วมโปรโมชั่น | |
| ไฮไลท์ | แนวข้อสอบ เจ้าหน้าที่ระบบงานคอมพิวเตอร์ สำนักงานขนส่งจังหวัดสกลนคร พร้อมเฉลย ล่าสุด ไฟล์ pdf ราคาถูก 385 บาท | 
| ข้อมูล | น้ำหนัก  บาร์โค้ด  ลงสินค้า  อัพเดทล่าสุด  | 
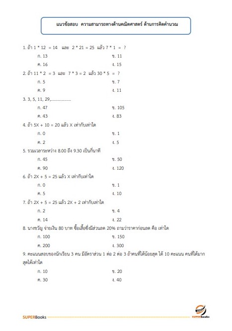
| รายละเอียดสินค้า | แนวข้อสอบ เจ้าหน้าที่ระบบงานคอมพิวเตอร์ สำนักงานขนส่งจังหวัดสกลนคร • ความรู้เกี่ยวกับสำนักงานขนส่งจังหวัดสกลนคร • ความสามารถเชิงคณิตศาสตร์ การคิดวิเคราะห์และเหตุผล • แนวข้อสอบ ความสามารถทางด้านคณิตศาสตร์ ด้านการคิดคำนวณ • แนวข้อสอบ ความรู้ความสามารถทางมิติสัมพันธ์ • แนวข้อสอบ ความรู้ความสามารถทางความละเอียดแม่นยำ • ความรู้ความเข้าใจการใช้ภาษาไทย • แนวข้อสอบ ภาษาไทย • ความรู้ด้านภาษาอังกฤษ • แนวข้อสอบ ภาษาอังกฤษ • ระเบียบสำนักนายกรัฐมนตรีว่าด้วยพนักงานราชการ พ.ศ.2547 และที่แก้ไขเพิ่มเติม • แนวข้อสอบ ระเบียบสำนักนายกรัฐมนตรีว่าด้วยพนักงานราชการ พ.ศ.2547 และที่แก้ไขเพิ่มเติม • แนวข้อสอบ พระราชบัญญัติว่าด้วยการกระทำความผิดเกี่ยวกับคอมพิวเตอร์ พ.ศ. 2550 และที่แก้ไขเพิ่มเติม • แนวข้อสอบ ถาม - ตอบ พระราชบัญญัติการรักษาความมั่นคงปลอดภัยไซเบอร์ พ.ศ.2562 • แนวข้อสอบ พระราชบัญญัติคุ้มครองข้อมูลส่วนบุคคล พ.ศ.2562 • แนวข้อสอบ พระราชบัญญัติว่าด้วยธุรกรรมทางอิเล็กทรอนิกส์ พ.ศ.2544 และที่แก้ไขเพิ่มเติม • การรักษาความปลอดภัยของระบบการบริหารจัดการฐานข้อมูล (Database Management) • ความรู้เกี่ยวกับการเขียนโปรแกรมคอมพิวเตอร์ • ความรู้เกี่ยวกับพัฒนาโปรแกรม • ความรู้เกี่ยวกับการใช้คอมพิวเตอร์ ชุดคำสั่งปฏิบัติการ และชุดคำสั่งสำเร็จรูป • ความรู้เกี่ยวกับการติดตั้งเครื่องคอมพิวเตอร์ส่วนบุคคล • ความรู้เกี่ยวกับระบบเครือข่ายคอมพิวเตอร์ • หลักการและแนวทางการวิเคราะห์และออกแบบระบบสารสนเทศ (System Analysis and Design)  • ความรู้เกี่ยวกับระบบการบริหารจัดการเรื่องการบริหารความปลอดภัย (Security Management) • ความรู้เบื้องต้นเกี่ยวกับคอมพิวเตอร์ • แนวข้อสอบ ความรู้เกี่ยวกับคอมพิวเตอร์ • เทคนิคการเตรียมตัวก่อนสอบ และเทคนิคการสอบสัมภาษณ์ สรุปสาระสำคัญ<รวบรวมขึ้นตามประกาศสอบของหน่วยงาน และตำแหน่งปัจจุบัน ในการสอบครั้งนี้ไว้ในเล่มเดียว><ความรู้ทั่วไปและความรู้เฉพาะตำเเหน่ง><เนื้อหาครบ ชัดเจน ตรงประเด็น พร้อมเฉลยกระชับ เข้าใจง่าย อัพเดทก่อนใคร><สรุปสาระสำคัญ พร้อมเฉลย อ่านง่าย ครบ ตรงประเด็น เข้าใจเร็ว ประหยัดเวลาในการอ่าน><เหมาะสำหรับ เตรียมตัวสอบ แกะจากสนามสอบจริง อัดแน่นด้วยคุณภาพ รวมข้อสอบเก่าเด็ดๆ และข้อสอบที่ออกบ่อยๆ ><พร้อมเทคนิคในการสอบสัมภาษณ์>ติดต่อสอบถาม สั่งซื้อแนวข้อสอบโทร 091-8641493LINE ID: @661nrgvo (มี @ด้วย)เพิ่มเพื่อนอัตโนมัติคลิ๊ก https://lin.ee/hIPQu8t           | 
| เงื่อนไขอื่นๆ |  | 
| Tags | 
 แนวข้อสอบ ประกาศสอบ ติวสอบ งานราชการ
			แนวข้อสอบ ประกาศสอบ ติวสอบ งานราชการ
		 
					